Content starts here
CLOSE ×
Search
Reply
Trusted Contributor

What is Health Insurance Marketplace?

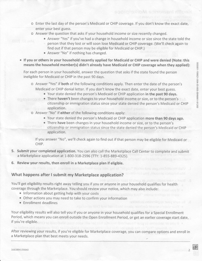
My wife recently received a letter in the mail advising her that she must enroll in something called Health Insurance Marketplace.  We don't know what this is, and we are worried, because she currently doesn't have an income of her own, and at the moment, our only source of support are my SSDI benefits.  Although I would like to get my wife health insurance as quickly as possible, we are currently facing financial hardship, and have had to cut back on the meals that we are able to eat. If they force us to buy insurance, it would absolutely kill us, and we might end up not being able to survie.   WCreate_Applicaton_For_Marketplace_Coverage_a.jpgCreate_Applicaton_For_Marketplace_Coverage_b.jpg

0 Kudos
2,321 Views
2
Report
Honored Social Butterfly

The reason why she is getting this letter is because the Medicaid extension to people during the Public Health Emergency (PHE) has ended and everybody has to reapply for the coverage which they now can get based on the post- (PHE) new eligibility rules ( actually just the old rules coming back into play).  This is the way NC has decided to do it - like the letter says - answer the questions on the Marketplace application truthfully and it sounds like she will be signed up for Medicaid.

 

The Health Insurance Marketplace in NC is the Federal Facilitated Marketplace for Healthcare coverage (Obamacare).  In NC it is the place that people who want healthcare coverage with a subsidy, that don’t have other coverage, if they qualify, can find such a plan.

 

ALL of # 4 in the letter is important for application for Medicaid.  

Talk to your social worker if you (or wife) need help in getting this done ASAP.

IT‘S ALWAYS SOMETHING . . . . .. . . .
Roseanne Roseannadanna
2,289 Views
1
Report
Trusted Contributor

Well, I think that I've finally made some progress in this area, but I would like to get some more advice before I move forward.  To make a long story short, I spoke with a representative from the Health Insurance Market Place, and the rep helped me update my wife's online application, and the rep was able to get my wife enrolled, eventhough the official enrollment period does not start until November.  Also, the rep mentioned that my wife would be getting a tax credit if she files a return next year, and if I understood correctly, that future tax credit can be used to pay for my wife's health insurance which would start in July, if we agreed to pick a plan today.

 

But I'm a little bit confused, because I do not want my wife and I to receive a large bill in the mail, and I don't see how a tax credit from next year could be used to pay my wife's health insurance this year.  Does that sound right to anyone else?

 

Also, the rep helped me download a PDF file containing a list of possible insurance providers, but it appears that I cannot upload it here.  

 

Well, I would urgently like to get my wife some healthcare, but if we are hit with an unexpected expense from an insurance carrier, it might just sink us.  Any advice appreciated. 

 

 

0 Kudos
2,077 Views
0
Report
cancel
Showing results for 
Show  only  | Search instead for 
Did you mean: 
Users
Need to Know

"I downloaded AARP Perks to assist in staying connected and never missing out on a discount!" -LeeshaD341679

AARP Perks

More From AARP